Международный эндокринологический журнал Том 19, №7, 2023
Вернуться к номеру
Фактори ризику панкреонекрозу при гострому панкреатиті у хворих на ожиріння
Авторы: I. Kovalska, O. Dronov, T. Ivanets, L. Roshchyna
Bogomolets National Medical University, Kyiv, Ukraine
Рубрики: Эндокринология
Разделы: Клинические исследования
Версия для печати
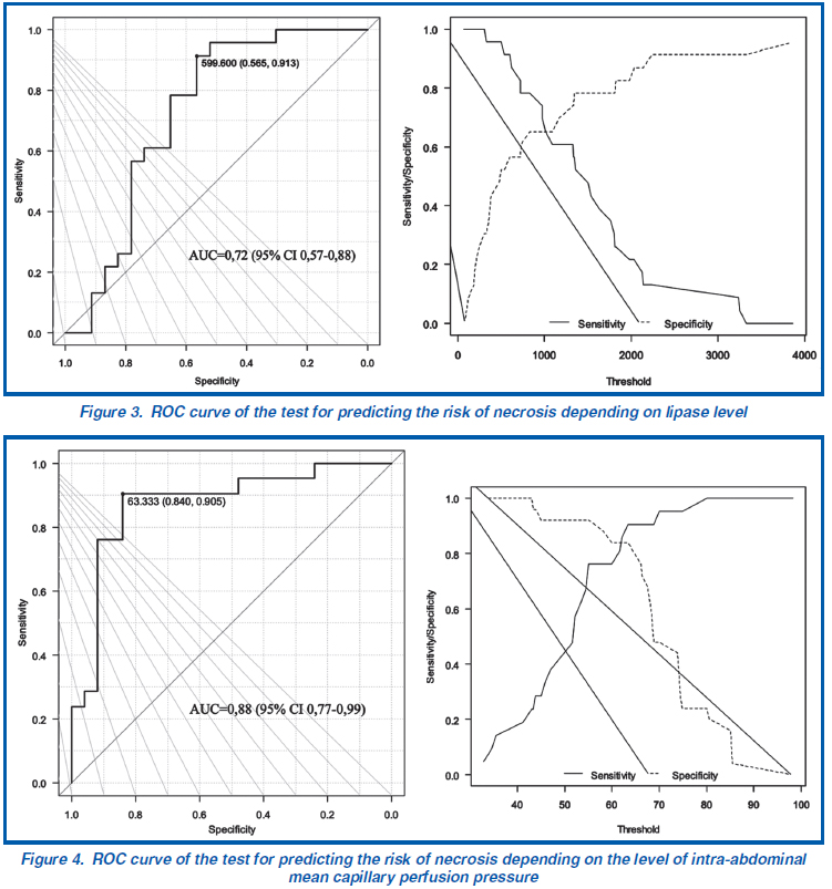
Актуальність. Гострий панкреатит — асептичне запалення підшлункової залози з різноманітними ускладненнями, подальшим розвитком некрозу залози та парапанкреатичної клітковини і можливим приєднанням вторинної інфекції. Значна кількість біохімічних маркерів, які можуть бути предикторами розвитку ускладнень панкреатиту, ще досліджується. Однак більшість із них дорогі, а їхні показники підвищуються лише в перші 24–48 годин від початку захворювання. Тому їх не використовують у повсякденній клінічній практиці. Метою цього дослідження є оцінка факторів, що вказують на підвищений ризик розвитку некрозу при гострому тяжкому панкреатиті у хворих на ожиріння. Матеріали та методи. Ретроспективний аналіз 80 пацієнтів з гострим панкреатитом шляхом побудови багатофакторної логістичної регресійної моделі. Результати. Встановлено залежність ризику панкреонекрозу від таких факторних ознак: ліпаза на початку захворювання (порогове значення = 599,6 Од/л, АUС = 0,72 (95% ДІ 0,57–0,88)), тяжкість захворювання, фібриноген на третю добу хвороби (порогове значення = 9,7, АUС = 0,65 (95% ДІ 0,48–0,81)), С-реактивний білок (порогове значення = 175,7 мг/л, AUC = 0,70 (95% ДІ 0,54–0,86)), внутрішньочеревний середній капілярний перфузійний тиск у першу добу захворювання (порогове значення 63,3 мм рт.ст., АUС = 0,88 (95% ДІ 0,77–0,99)). За результатами розтину виявлено наявність некрозу та мікротромбозу підшлункової залози. Висновки. Факторами, які можуть вказувати на підвищений ризик розвитку панкреонекрозу, були високий рівень ліпази, фібриногену на третій день захворювання, С-реактивного білка, зниження внутрішньочеревного середнього капілярного перфузійного тиску, тяжкість захворювання та наявність портоспленомезентеріального тромбозу.
Background. Acute pancreatitis is an aseptic inflammation of the pancreas with diverse complications and further development of necrosis of the gland, parapancreatic tissue and possible addition of secondary infection. A significant number of biochemical markers that can be predictors of pancreatitis complications are still being researched. However, most of them are expensive and their indicators are increased only in the first 24–48 hours after the onset of the disease, so they are not used in daily clinical routine. The purpose of this study is to evaluate the factors that indicate an elevated risk of necrosis in acute severe pancreatitis. Materials and methods. A retrospective analysis of 80 patients with acute pancreatitis was performed via creation of a multivariate logistic regression model. Results. The dependence of the risk of pancreatic necrosis on the following factor signs was found: lipase at the onset of the disease (cut-off value = 599.6 U/l, area under the receiver operating characteristic curve (АUС) = 0.72 (95% confidence interval (СІ) 0.57–0.88)), severity of the disease, fibrinogen on day 3 of the disease (cut-off value = 9.7, АUС = 0.65 (95% СІ 0.48–0.81)), C-reactive protein (cut-off value = 175.7 mg/L, AUC = 0.70 (95% CI 0.54–0.86)), and intra-abdominal mean capillary perfusion pressure on the first day of the disease (cut-off value ≤ 63.3 mm Hg, АUС = 0.88 (95% СІ 0.77–0.99)). The autopsy results revealed the presence of necrosis and microthrombosis of the pancreas. Conclusions. Factors that may indicate an increased risk of pancreatic necrosis were high levels of lipase, fibrinogen on the third day of the disease, C-reactive protein, decreased intra-abdominal mean capillary perfusion pressure, severity of the disease, and the presence of portosplenomesentric thrombosis.
гострий панкреатит; панкреонекроз; ожиріння; тромбоз
severe acute pancreatitis; pancreatic necrosis; obesity; thrombosis
Introduction
Matherials and methods
/7.jpg)
Results
/10.jpg)
Discussion
Conclusions
- Petrov M.S., Yadav D. Global epidemiology and holistic prevention of pancreatitis. Nat. Rev. Gastroenterol. Hepatol. 2019. 16(3). 175-184. doi: 10.1038/s41575-018-0087-5.
- Iannuzzi J.P., King J.A., Leong J.H., et al. Global incidence of acute pancreatitis is increasing over time: a systematic review and meta-analysis. Gastroenterology. 2022. 162(1). 122-134. doi: 10.1053/j.gastro.2021.09.043.
- Gui M., Zhao B., Huang J., Chen E., Qu H., Mao E. Pathogenesis and Therapy of Coagulation Disorders in Severe Acute Pancreatitis. J. Inflamm. Res. 2023 Jan 6. 16. 57-67. doi: 10.2147/JIR.S388216. PMID: 36636248; PMCID: PMC9831125.
- Liu C., Zhou X., Ling L., et al. Prediction of mortality and organ failure based on coagulation and fibrinolysis markers in patients with acute pancreatitis: a retrospective study. Medicine. 2019. 98(21). e15648. doi: 10.1097/MD.0000000000015648.
- Ding L., Deng F., Yu C., et al. Portosplenomesenteric vein thrombosis in patients with early-stage severe acute pancreatitis. World J. Gastroenterol. 2018. 24(35). 4054-4060. doi: 10.3748/wjg.v24.i35.4054.
- Leppäniemi A., Tolonen M., Tarasconi A., Segovia-Lohse H., Gamberini E., Kirkpatrick A.W. et al. 2019 WSES guidelines for the management of severe acute pancreatitis. World Journal оf Emergency Surgery. 2019. 14(1). 1-20.
- Gritsenko S.M., Grigoriev S.V. Method of determining interabdominal mediocapillary perfusion pressure. Patent No. 33116 Ukraine: IPC: A61B 5/02 / patent application number u200801594; filed on February 07, 2008; published on June 10, 2008, Bulletin No. 11/2008.
- Banks P.A., Bollen T.L., Dervenis C., Gooszen H.G., Johnson C.D., Sarr M.G., et al.; Acute Pancreatitis Classification Working Group. Classification of acute pancreatitis — 2012: revision of the Atlanta classification and definitions by international consensus. Gut. 2013 Jan. 62(1). 102-11. doi: 10.1136/gutjnl-2012-302779. Epub 2012 Oct 25. PMID: 23100216.
- Seppänen H., Puolakkainen P. Classification, Severity Assessment, and Prevention of Recurrences in Acute Pancreatitis. Scand. J. Surg. 2020 Mar. 109(1). 53-58. doi: 10.1177/1457496920910007. PMID: 32192420.
- Acehan F., Comoglu M., Kayserili F.M., Hayat B., Ates I. Factors Predicting the Development of Necrosis in Patients Presenting With Edematous Acute Pancreatitis. Pancreas. 2022 Nov-Dec 01. 51(10). 1300-1307. doi: 10.1097/MPA.0000000000002206. PMID: 37099770.
- Li W., Ou L., Fu Y., Chen Y., Yin Q., Song H. Risk factors for concomitant infectious pancreatic necrosis in patients with severe acute pancreatitis: A systematic review and meta-analysis. Clin. Res. Hepatol. Gastroenterol. 2022 May. 46(5). 101901. doi: 10.1016/j.clinre.2022.101901. Epub 2022 Mar 15. PMID: 35304319.
- Kiss S., Pintér J., Molontay R., Nagy M., Farkas N., Sipos Z., Fehérvári P., et al.; Hungarian Pancreatic Study Group. Early prediction of acute necrotizing pancreatitis by artificial intelligence: a prospective cohort-analysis of 2387 cases. Sci. Rep. 2022 May 12. 12(1). 7827. doi: 10.1038/s41598-022-11517-w. PMID: 35552440; PMCID: PMC9098474.
- Barauskas G., Svagzdys S., Maleckas A. C-reactive protein in early prediction of pancreatic necrosis. Medicina (Kaunas). 2004. 40(2). 135-40. English, Lithuanian. PMID: 15007272.
- Fujiwara J., Matsumoto S., Sekine M., Mashima H. C-reactive protein predicts the development of walled-off necrosis in patients with severe acute pancreatitis. JGH Open. 2021 Jun 29. 5(8). 907-914. doi: 10.1002/jgh3.12605. PMID: 34386599; PMCID: PMC8341195.
- Asim Riaz H.M., Islam Z., Rasheed L., Sarfraz Z., Sarfraz A. Robles-Velasco K., Sarfraz M., Cherrez-Ojeda I. The evaluation of inflammatory biomarkers in predicting progression of acute pancreatitis to pancreatic necrosis: a diagnostic test accuracy review. Healthcare. 2023. 11(1). 27. https://doi.org/10.3390/healthcare11010027.
- Zheng J., Han M., Chen J., Deng M.M., Luo G. Predictive value of D-dimer and fibrinogen degradation product for splanchnic vein thrombosis in patients with severe acute pancreatitis: a single-center retrospective study. Scand. J. Gastroenterol. 2023 Jul-Dec. 58(10). 1166-1172. doi: 10.1080/00365521.2023.2215367. Epub 2023 May 23. PMID: 37221650.
- Yue W., Liu Y., Ding W., Jiang W., Huang J., Zhang J., Liu J. The predictive value of the prealbumin-to-fibrinogen ratio in patients with acute pancreatitis. Int. J. Clin. Pract. 2015 Oct. 69(10). 1121-8. doi: 10.1111/ijcp.12682. Epub 2015 Jul 2. PMID: 26133088.
- Dobszai D., Mátrai P., Gyöngyi Z., Csupor D., Bajor J., Erőss B., Mikó A., et al.; Hungarian Pancreatic Study Group. Body-mass index correlates with severity and mortality in acute pancreatitis: A meta-analysis. World J. Gastroenterol. 2019. 25(6). 729-743. doi: 10.3748/wjg.v25.i6.729. PMID: 30783376; PMCID: PMC6378543.
- Dronov O.I., Kovalska I.O., Zadorozhna К.О., Horlach A.I. Impact of obesity on the course and prognosis of an acute pancrea–titis. Klinichna khirurhiia. 2017. 11. 9-12. DOI: 10.26779/2522-1396.2017.11.09.
- Dronov O.I., Kovalska I.O., Horlach A.I., Shchyhel I.A., Ivanets T.Y. Abdominal perfusion pressure in prediction of the terms of acute necrotizing pancreatitis infection. Wiadomosci lekarskie. 2023. 76(3). 554-559. https://doi.org/10.36740/WLek202210107.

/8.jpg)
/8_2.jpg)
/9.jpg)
/10_2.jpg)